CHASSE EN FORÊT DOMANIALE DE FOUGERES

CALENDRIER DE CHASSE EN FORET DOMANIALE DE FOUGERES

RAMASSAGE DE CHAMPIGNONS

ARRÊTÉ PRÉFECTORAL OUVERTURE PÊCHE DE LA TRUITE DE MER ET DU SAUMON 2024
FLASH S.E.V.E
Cela fait plus de 10 ans que l’Agence Régionale de la Santé (ARS) Bretagne et FREDON Bretagne ont engagé un partenariat pour mettre en œuvre des actions à l’encontre d’espèces végétales et animales dont la prolifération peut porter gravement atteinte à la santé humaine. Depuis 2012, dans le cadre de projets déposés en réponse à des appels à projet PRSE (Plan Régional Santé Environnement) 2 et 3, FREDON Bretagne met en œuvre des plans régionaux de prévention, de surveillance et lutte contre plusieurs espèces animales et végétales posant atteinte à la santé humaine et animale .FREDON Bretagne réalise une mission de surveillance et de prévention des risques sanitaires actuels et futurs.
Retrouver les infos du Flash S.E.V.E.
MA RUCHE : JE LA DECLARE !
La déclaration annuelle des ruchers : Une obligation réglementaire dès la 1ère ruche, un geste citoyen et responsable. La déclaration annuelle permet la localisation des ruches, localisation indispensable pour un suivi sanitaire efficace en apiculture. Par cette déclaration, vous participez ainsi concrètement à la lutte contre les maladies (plan de Maitrise contre le varroa, programme pilote de lutte contre loque américaine….) et à l’optimisation du réseau d’épidémio surveillance du trouble des abeilles. L’actualité renforce la nécessité absolue de cette démarche : un parasite« aethina tumida » jusqu’alors inconnu en Europe, le petit coléoptère des ruches est détecté en Italie du Sud. En cas de suspicion dans votre commune, il serait primordial de pouvoir visiter tous les ruchers du secteur. Apiculteurs, amateurs comme professionnels, comment déclarer ses ruches ?
Faire cette déclaration en automne, après la mise en hivernage, permet de connaître le nombre de colonies qui passeront l’hiver. Cette déclaration est faite en une seule fois à partir du 1er novembre.
Une déclaration annuelle des ruches obligatoire : plus d’info
RECENSEMENT MILITAIRE
Le recensement est obligatoire pour tous les français de 16 à 25 ans.
Inscription en Mairie entre la date à laquelle vous atteignez l’âge de 16 ans et la fin du 3ème mois suivant, munis de votre livret de famille.
Cette démarche permet de vous inscrire aux examens/concours, d’assister à la journée d’appel de préparation à la défense (JAPD) et d’être inscrit automatiquement sur les listes électorales dès 18 ans.
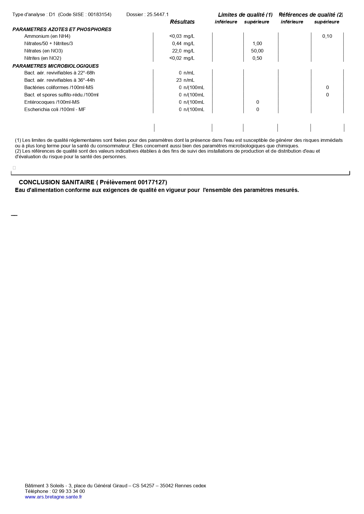
QUALITE DE L’EAU :
Conformément aux articles L1321-9 et R1321-22 du code de la santé publique, voici les derniers résultats d’analyses du contrôle sanitaire disponibles sur vos installations d’eau destinée à la consommation humaine.




PERMIS DE CONDUIRE
Vous pouvez être informé sur le suivi en ligne de la fabrication de votre permis de conduire et sur la possibilité, après inscription sur le site de l’ANTS (permisdeconduire.ants.gouv.fr), d’être alerté par SMS ou mél de sa disponibilité.
A l’approche de la période estivale, la Préfecture vous informe qu’en cas d’envoi du permis de conduire à votre domicile, vous ne disposez que d’un délai de 15 jours pour le récupérer à La Poste (vous pouvez prévoir une procuration). Passé ce délai, le permis sera renvoyé pour être détruit.
Ou en est mon permis de conduire ?
A compter du 1er septembre 2014, le renouvellement du permis de conduire s’accompagnera du règlement d’un droit de timbre de 25 € si l’ancien permis ne peut être présenté (en cas de perte, de vol ou de destruction accidentelle). Ce timbre fiscal peut être acheté soit dans un bureau de tabac, soit au guichet d’un centre des finances publiques, d’une trésorerie, ou d’un service des impôts des entreprises (SIE). La liste des pièces à produire et le formulaire de renouvellement de permis de conduire sont disponibles sur le site : www.ille-et-vilaine.gouv.fr (rubrique : vos démarches – permis de conduire).



